Study Guide
Field 103: Elementary Education
Sample Multiple-Choice Questions
Expand All Answers | Collapse All Answers
Subarea 1—ENGLISH LANGUAGE ARTS AND WORLD LANGUAGES
Objective 001
Understand the major concepts, principles, and instructional practices in the acquisition and learning of languages to create opportunities for communication in a multilingual global society.
1. A fourth-grade teacher regularly has students maintain individual learning logs of their observations and questions during science experiments. Students then share and discuss their learning-log entry with a partner before the whole class meets to draw conclusions about what they learned. This approach to fostering student learning best demonstrates the teacher's recognition of the importance of:
- helping students make connections and comparisons between different modes of communication.
- considering students' physical, social, and cognitive development when planning academic instruction.
- encouraging students to consider pragmatic elements when listening and speaking in academic situations.
- enhancing students' understanding of content-area concepts through reading, writing, listening, and speaking.
- Enter to expand or collapse answer.Answer expanded
- Correct Response: D.
Objective 002
Understand the foundations of emergent literacy, including the development of phonological and phonemic awareness skills.
2. A kindergarten teacher notices that some students are having difficulty developing understanding of the alphabetic principle and letter-sound correspondence. Which of the following strategies would be most effective to use first in addressing the students' needs?
- helping the students develop automaticity recognizing grade-level-appropriate, high-frequency words
- having the students practice identifying all the printed words in a book that begin with the same letter
- assessing the students' ability to write both uppercase and lowercase letters clearly and accurately
- focusing the students' attention on letters whose sound-symbol relationships are most consistent
- Enter to expand or collapse answer.Answer expanded
- Correct Response: D.
3. A kindergarten student has good oral language skills and enjoys looking at, listening to, and discussing informational picture books about a range of subjects. However, when the teacher reads aloud narrative texts, the student often seems restless and confused and is unable to answer basic questions about the story. Which of the following factors is most likely interfering with this student's construction of meaning?
- lack of ability to make text-to-text connections
- limited experience with literary material
- lack of understanding of question words
- limited awareness of the alphabetic principle
- Enter to expand or collapse answer.Answer expanded
- Correct Response: B.
Objective 003
Understand the development of accurate, automatic word recognition, spelling, and fluency.
4. A student who has mastered six high-frequency letter-sound correspondences and can segment and blend CVC words presented orally is most likely ready to begin instruction in which of the following reading skills?
- decoding other word types and phonics patterns
- learning how to pronounce words with consonant clusters
- sounding out printed CVC words letter by letter
- reading short passages containing primarily CVC words
- Enter to expand or collapse answer.Answer expanded
- Correct Response: C.
5. A sixth-grade teacher observes that an advanced-level English Language Learner's oral reading lacks fluency. Although the student can accurately decode the words in an English text and has good comprehension of the meaning of the text, he sometimes uses inappropriate phrasing, intonation, and word stress. Which of the following statements provides the best explanation for this student's reading behavior?
- The student's expressive vocabulary in English is less developed than his receptive vocabulary.
- The student is generalizing regular letter-sound correspondences to irregular words.
- The student's primary language is influencing his production of English.
- The student's academic-language skills are less developed than his social-language skills.
- Enter to expand or collapse answer.Answer expanded
- Correct Response: C.
Objective 004
Understand the development of vocabulary and reading comprehension.
6. Which of the following options best exemplifies inferential comprehension?
- recognizing cause-and-effect relationships in a science text about the processes of condensation and evaporation
- making connections between past personal experiences and information presented in an article about nutrition
- following a sequence of steps in a set of written instructions for creating a pattern using stencils and paint
- determining an author's point of view in a social studies text about the consequences of industrialization
- Enter to expand or collapse answer.Answer expanded
- Correct Response: D.
Objective 005
Understand the characteristics of narrative and expository texts in written, oral, performance, and media forms.
7. A sixth-grade teacher is planning a unit on autobiography. Several students have expressed disinterest in reading nonfiction. Which of the following student activities would most likely help engage students' interest in reading an autobiography?
- giving a multimedia presentation about the author's life to the class
- portraying the author in appearance and personality while being interviewed by students from other classes
- creating an illustrated timeline of key events in the life of the author
- comparing and contrasting the lives of several authors of autobiographies during small-group discussions
- Enter to expand or collapse answer.Answer expanded
- Correct Response: B.
Read the excerpt below from a writing sample; then answer the two questions that follow.
1The oceans are home to many examples of symbiosis. 2The clownfish, short blank, eats lichens that could harm the sea anemone, the sea anemone protects the clownfish from predators with its stinging cells. 3short blank, barracudas get their bellies cleaned by cleaning fish, who get a meal out of the deal. 4long blank 5In the rain forests of Costa Rica, algae grow in the fur of the tree sloth. 6In return for providing a warm environment of the algae, the tree sloth receives protection in the form of camouflage. 7Thanks to the algae, the tree sloth's coat blends in with the lichen-covered bark of the trees where it makes its home.
Objective 006
Understand the writing process using standard conventions of English in the United States.
8. Which of the following words or phrases, if inserted in the blanks in Sentences 2 and 3 respectively, would best support a logical development of the central idea?
- for instance / Similarly
- consequently / For example
- in the first place / Additionally
- furthermore / Likewise
- Enter to expand or collapse answer.Answer expanded
- Correct Response: A.
9. Which of the following sentences, if inserted as Sentence 4 in the excerpt, would best support a logical development of the central idea?
- Goby fish warn shrimp of danger and the shrimp construct their shared hideaway.
- Some land animals also enjoy mutually beneficial relationships with animal or plant life.
- The barracuda strikes a unique pose to assure cleaning fish that it will not eat them.
- Symbiosis occurs when a host and a dependent species benefit from living together.
- Enter to expand or collapse answer.Answer expanded
- Correct Response: B.
Objective 007
Understand the generation and expression of ideas and information through written, oral, visual, and nonverbal communication.
10. Students in a sixth-grade class are designing a Web site on which they will post their science research reports on invasive species in the Great Lakes. A teacher-guided discussion of which of the following concepts related to visual arts would best help students arrange the visual elements they have chosen to use on the Web page?
- perspective
- texture
- scale
- balance
- Enter to expand or collapse answer.Answer expanded
- Correct Response: D.
Subarea 2—SOCIAL STUDIES
Objective 008
Apply historical thinking to understand the past in the local community, Michigan, and the United States.
11. Which of the following statements best describes an important feature of life among Native American groups in the region that is now Michigan during the period immediately before European arrival in the Americas?
- Native American groups lived in large permanent settlements along the banks of Lakes Michigan, Huron, and Erie.
- Major economic activities among Native American groups included agriculture, hunting, gathering, and fishing.
- Native American groups produced skillfully made baskets and bone tools that were traded throughout nearby regions.
- Most Native American groups built multistoried structures that served as forts and residences.
- Enter to expand or collapse answer.Answer expanded
- Correct Response: B.
Objective 009
Understand the fundamental principles and concepts of geography.
12. During the past century, the location of human settlements in most parts of North Africa and Southwest Asia has been most influenced by:
- their proximity to regional trade routes.
- the existence of religious sites.
- their proximity to oil deposits.
- the existence of available water supplies.
- Enter to expand or collapse answer.Answer expanded
- Correct Response: D.
13. Which of the following statements best describes a major consequence of the Columbian Exchange resulting from European colonization of the Americas?
- Europeans added corn, squash, potatoes, and cocoa to their diets.
- European farmers began cultivating wheat, barley, and rye.
- European clothing producers began making goods from cotton and silk.
- Draft animals became a standard feature of European agriculture.
- Enter to expand or collapse answer.Answer expanded
- Correct Response: A.
Objective 010
Understand the fundamental principles and concepts of civics and government.
14. A sixth-grade teacher arranges to have students witness the operation of the Michigan state legislature while it is in session. This activity will most help students understand which of the following aspects of government?
- the role of public discourse and debate in the lawmaking process
- the electoral strategies of political parties in state politics
- the influence of the media on the policymaking process
- the operation of the principle of constitutional supremacy
- Enter to expand or collapse answer.Answer expanded
- Correct Response: A.
Objective 011
Understand the fundamental principles and concepts of economics.
15. Which of the following examples best illustrates the operation of the concept of opportunity cost in a market economy?
- A wage earner decides to spend a salary bonus on garden tools rather than on new clothing.
- A store owner lowers prices to attract a rival store's customers.
- A business lays off a quarter of its workforce when demand for company products declines.
- A consumer buys winter clothing in the spring to take advantage of sale prices.
- Enter to expand or collapse answer.Answer expanded
- Correct Response: A.
Objective 012
Understand inquiry processes in social studies, and concepts and skills associated with public discourse, decision making, and citizen involvement.
16. The First Amendment to the U.S. Constitution prohibits the enactment of laws "abridging the freedom of speech, or of the press; or the right of the people peaceably to assemble, and to petition the government for a redress of grievances." This amendment best illustrates the importance that the U.S. system of government places on the:
- responsibility of citizens to obey the laws of the land.
- need for citizens to promote the general welfare over individual interests.
- participation of citizens in the determination of public policy.
- willingness of citizens to embrace the concept of a diverse society.
- Enter to expand or collapse answer.Answer expanded
- Correct Response: C.
Subarea 3—VISUAL AND PERFORMING ARTS
Objective 013
Understand the functions, elements, principles, and styles of the arts, and artistic and creative processes and products.
17. The primary purpose of a blocking rehearsal is to:
- review light and sound cues.
- practice where, when, and how actors will move about the stage.
- explore a variety of line readings.
- plan unimpeded sight lines from audience members to the stage.
- Enter to expand or collapse answer.Answer expanded
- Correct Response: B.
Objective 014
Understand communication about and through the arts, and developmentally appropriate arts instruction.
18. Throughout the school year, students in a fourth-grade class create a portfolio of their artworks. In the spring, the teacher plans a class art exhibit in the school library media center. Students will select their favorite artwork to exhibit and will write a paragraph to hang next to it. Which of the following teacher strategies would likely be most effective for promoting students' ability to convey information about their artwork in their paragraphs?
- giving students a scoring rubric showing how their artwork and paragraphs will be graded
- providing students with sample paragraphs that previous students have written about their artwork
- using art-related vocabulary regularly when discussing students' artwork with them
- setting aside time to meet individually with students to help them select the artwork for the exhibit
- Enter to expand or collapse answer.Answer expanded
- Correct Response: C.
19. A first-grade student is having difficulty understanding a math lesson involving patterns. Which of the following musical activities would be most appropriate to promote the student's understanding of patterns?
- echoing rhythms on a drum
- singing a major scale
- playing a melody on a recorder
- singing with others in harmony
- Enter to expand or collapse answer.Answer expanded
- Correct Response: A.
20. As part of a social studies unit on the history and cultural development of the Harlem Renaissance, a teacher would like to play musical selections and demonstrate styles of dance associated with the Harlem Renaissance. Which of the following styles of dance should the teacher demonstrate?
- salsa
- modern dance
- ballet
- line dance
- Enter to expand or collapse answer.Answer expanded
- Correct Response: B.
Subarea 4—MATHEMATICS
Objective 015
Understand mathematical reasoning, representation, and problem solving; and the historical development of mathematics.
21.
Tony needs to arrive at school at 8:10 a.m. If it takes him 9 minutes to get out of bed and brush his teeth, 12 minutes to get dressed, 18 minutes to eat breakfast, and 23 minutes to walk to school, when will he have to get up?
Which of the following strategies would be most effective for solving this problem?
- modeling
- working backwards
- guessing and checking
- finding a pattern
- Enter to expand or collapse answer.Answer expanded
- Correct Response: B.
Objective 016
Understand number sense and concepts of number, number theory, and number systems.
22. Two numbers, A and B, are shown below in expanded notation.
A = 7 times 10 to the third power + 4 times 10 to the second power + 5 times 10 to the first power
B = 3 times 10 to the first power + 2 times 10 to the zero power
When A times B is calculated, what digit will be in the thousands place of the product?
- 2
- 3
- 4
- 8
- Enter to expand or collapse answer.Answer expanded
- Correct Response: D.
Objective 017
Understand numerical computation and operations on numbers.
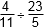
23. A person walks a distance of 4 3 fifths miles at a speed of 2 3 fourths miles per hour. Which of the following expressions represents the number of hours required to walk the distance?
- Enter to expand or collapse answer.Answer expanded
- Correct Response: A.
Objective 018
Understand concepts and procedures of direct and indirect measurement.
24. What is the volume of the triangular prism shown in the diagram below?

- 30 cubic centimeters
- 18 cubic centimeters
- 15 cubic centimeters
- 10 cubic centimeters
- Enter to expand or collapse answer.Answer expanded
- Correct Response: C.
Objective 019
Understand concepts of Euclidean geometry.
25. Given that ABCD below is a parallelogram, which of the following characteristics of ABCD justifies the conclusion that opposite sides of a parallelogram are equal in length?

- Line AB is parallel to line CD.
- Angle A is congruent to angle C.
- Triangle ADC is similar to triangle CBA.
- Triangle ABC is congruent to triangle CDA.
- Enter to expand or collapse answer.Answer expanded
- Correct Response: D.
26. A teacher is planning a unit on solving problems involving proportional reasoning. The teacher could best make connections between the algebra of ratios and proportion and spatial reasoning by including which of the following geometry topics in the lesson?
- finding the area of composite figures
- solving problems involving similar figures
- finding the sum of the angles in various polygons
- applying the Pythagorean theorem in real-word situations
- Enter to expand or collapse answer.Answer expanded
- Correct Response: B.
Objective 020
Understand concepts of algebra.
27. A mathematical equation is given by y minus 5x + 2x2 = x2 + 6x + 3. Which of the following is an equivalent representation?
- y = negative x2 minus x + 3
- y = negative x2 + 11x + 3
- y = 3x2 minus x + 3
- y = 3x2 + 11x + 3
- Enter to expand or collapse answer.Answer expanded
- Correct Response: B.
28. Students are creating a model for the amount of weight a bridge can support. The students propose that all else being equal, the longer the bridge, the less weight it will be able to support. If the number 10 is a constant, L represents the length of the bridge, and W represents the amount of weight it can support, which of the following equations could be a model for this situation?
- W =

- W =

- W = 10L
- W = 10L2
- Enter to expand or collapse answer.Answer expanded
- Correct Response: B.
Objective 021
Understand concepts of data analysis and probability.
29. A box contains three blue blocks and two yellow blocks. Three blocks are drawn randomly from the box one at a time without replacement. Which of the following probability trees can be used to determine the probability that the blocks are drawn in the order of yellow, yellow, and then blue?
- Enter to expand or collapse answer.Answer expanded
- Correct Response: C.
Subarea 5—SCIENCE
Objective 022
Understand how new scientific knowledge is constructed, including the role of inquiry.
30. Researchers are conducting a study on effectiveness of a new medication to control pain. One hundred individuals who are experiencing moderate levels of pain participate in the study. Fifty participants will be given the medication and 50 will be given a placebo. Over the course of several weeks, individuals will be interviewed to determine their levels of pain. Which of the following strategies would be most effective for reducing bias on the part of the researchers?
- collecting only data that can be quantified
- adding 100 individuals who are experiencing severe pain to the study
- ensuring that the interviewers do not know who was given the placebo or the medication
- replicating the experiment using a different pool who are experiencing a range of pain levels
- Enter to expand or collapse answer.Answer expanded
- Correct Response: C.
31. Students in a second-grade class notice there is more snow on the north side of the school building than on the south side, and they ask their teacher why the two sides of the building have different amounts of snow. Which of the following activities should the teacher carry out next in order to promote the students' use of inquiry processes?
- demonstrating with a ball and flashlight how the tilt of the earth causes the sun to be in the southern sky during the winter in the Northern Hemisphere
- having the students use books and the Internet to research the seasons and the path of the sun in the sky throughout the year
- putting the students into groups and giving each group a location around the school at which they will regularly measure and record the snow depth
- discussing with the students various reasons why the north side of the building might have more snow than the south side
- Enter to expand or collapse answer.Answer expanded
- Correct Response: D.
Objective 023
Understand the nature of scientific knowledge and the application of analysis and reflection in science.
32. Read the passage below; then answer the question that follows.
Scientific and technological advances have led to the development of computer technology that is smaller, faster, and more versatile with each new innovation. Huge amounts of information are accessible at all times. Instant communication via e-mail, voice, video, and text messaging is possible all over the world. Virtual friends exchange information continuously at social networking sites. At the same time, many believe that this technology has contributed to information overload, increased social isolation, reduced attention span, and declining social skills for many individuals.
The passage above best illustrates that technological innovations often:
- require that certain social and economic conditions be present before they are accepted.
- are made possible by breakthroughs in one or more areas of science.
- have unforeseen consequences that offset some of their advantages.
- are gradually accepted by all segments of society.
- Enter to expand or collapse answer.Answer expanded
- Correct Response: C.
Objective 024
Understand the fundamental concepts of life science.
33.

The illustration shows the life cycle of a beetle. The life cycle of a grasshopper, which undergoes gradual metamorphosis, differs from the life cycle of a beetle in that the young grasshoppers:
- grow into adults more quickly, and do not need to molt as they grow.
- look like small adults and do not go through a larval or pupal stage.
- live in different habitats and eat different food from the adults.
- pupate and then become adults, but do not change in appearance or form.
- Enter to expand or collapse answer.Answer expanded
- Correct Response: B.
34. A flower grower has been growing several acres of daisies for many years. The grower lets the daisies go to seed late in the year so that new plants naturally replace older ones that die. This year, in the middle of the field, the grower finds a plant with pink flowers instead of the usual white flowers. Aside from the unusual color, the plant is identical to all the other daisies in the field. The grower has never seen a pink-flowered daisy in the field before. The appearance of the pink-flowered daisy was most likely caused by:
- a mutation in one of the sex cells produced by a parent of the daisy.
- hybridization between a daisy plant and a plant belonging to a non-daisy species.
- a dominant gene that has been carried undetected in the population for many years.
- unusual nutrients and soil conditions where the pink-flowered daisy is growing.
- Enter to expand or collapse answer.Answer expanded
- Correct Response: A.
Objective 025
Understand the fundamental concepts of earth/space science.
35. An inland sea that existed 50 million years ago slowly dries up. As it dries, the deep water near the center of the sea becomes shallower and the beaches surrounding the sea move inward. Eventually the sea completely disappears. Which of the following series of deposits would most likely result from this event?
- Enter to expand or collapse answer.Answer expanded
- Correct Response: C.
Objective 026
Understand the fundamental concepts of physical science.
36. A fourth-grade teacher has students attach the terminals of a small light-emitting diode (LED) to an electric motor. The students then vigorously spin the shaft of the motor and observe that the LED gives off a quick flash of light. The principle demonstrated in this exercise could best be used to help explain:
- how energy is stored in batteries.
- why refrigerators are able to cool warm air.
- how electricity is generated in large power plants.
- why a balloon sticks to a wall after rubbing it on a sweater.
- Enter to expand or collapse answer.Answer expanded
- Correct Response: C.
Subarea 6—HEALTH EDUCATION AND PHYSICAL EDUCATION
Objective 027
Understand concepts and strategies of health education.
37. On a hot summer day, a sixth grader's friend calls to ask her to go swimming with a group of friends at a nearby river gorge. The girl knows that it is a dangerous and illegal area in which to swim, but she likes swimming with her friends. Which of the following would be the most appropriate process for her to use in deciding how to respond to her friend's suggestion?
- considering the physical risks and benefits of swimming in the gorge, how she personally feels about it, and what the alternatives are
- asking her friend who else will be going, and considering what they will think of her if she does or does not go swimming
- telling her older brother about the situation and asking him what he would do in her place and what he thinks she should do
- going to the gorge with the group and seeing for herself how dangerous it seems before deciding whether to go swimming
- Enter to expand or collapse answer.Answer expanded
- Correct Response: A.
38. A middle school student is conducting research for a health project on juvenile rheumatoid arthritis. Which of the following types of Internet resources would be most appropriate for this purpose?
- a chat group or discussion forum where individuals or families affected by juvenile rheumatoid arthritis share their personal stories and offer advice
- Web sites for products designed to alleviate joint pain associated with juvenile rheumatoid arthritis with testimonials from individuals who purchased the products
- online medical journals that describe research studies focusing on new treatments for individuals with juvenile rheumatoid arthritis
- Web sites of government or nonprofit organizations designed to provide information and support for individuals or families affected by juvenile rheumatoid arthritis
- Enter to expand or collapse answer.Answer expanded
- Correct Response: D.
Objective 028
Understand concepts and strategies of physical education.
39. Outside on the playground, a first-grade teacher engages students in a variety of short relay races. For the first relay, the students walk to the end pole and then turn around and run back. For the second relay, the students skip to the pole and then gallop back. For the third relay, the students hop to the pole and then leap back. This is a particularly appropriate activity for providing students with opportunities to:
- combine manipulative and nonlocomotor skills smoothly.
- gain practice in executing fundamental locomotor skills.
- recognize the differences between self-space and general space.
- demonstrate their understanding of movement qualities related to force.
- Enter to expand or collapse answer.Answer expanded
- Correct Response: B.
40. When elementary students are participating in physical activities, the teacher can best help promote personal traits such as perseverance and confidence by:
- giving constant verbal praise and encouragement.
- making sure students participate in activities at which they regularly succeed.
- planning activities that minimize competition between students.
- focusing students on setting and achieving individual goals.
- Enter to expand or collapse answer.Answer expanded
- Correct Response: D.











